Introduction. The outcome of adult patients with acute lymphoblastic leukemia (ALL) has markedly improved following the introduction of a pediatric inspired chemotherapy backbone coupled with minimal residual disease (MRD) monitoring at well-defined timepoints (TP), translating into a rational patients' stratification for allogeneic transplantation (Tx). Immunotherapy, in particular blinatumomab, represents a further advancement in the management of ALL. We designed a phase II trial (GIMEMA LAL2317) for adult Ph- CD19+ B-lineage ALL (Ph- B-ALL) consisting of a pediatric chemotherapy backbone - with dose adjustment in patients >55 years - to which 2 cycles of blinatumomab were added, the first after early consolidation cycle 3 (high-dose methotrexate and Ara-C) and the second after late consolidation cycle 6. Tx allocation was based on MRD assessment, carried out in most cases by RQ-PCR and by flow cytometry when a sensitive molecular marker was not identified. The primary objective of the trial was to assess the impact of blinatumomab in increasing the rate of early MRD negativity at end of week 14 (TP3).
Patients and methods. The protocol was designed for adults up to the age of 65 years with newly diagnosed Ph- B-ALL; 149 patients were enrolled. Median age was 41 years (18-65), with 28 patients (19%) being older than 55. Eighty-one patients were males, and the median white blood count (WBC) was 4.5x10 9/l (1-474); 12 cases harbored the KMT2A rearrangement, 5 the TCF3:: PBX1 transcript and 31 were classified as Ph-like according to the BCR/ABL1-like predictor . The median follow-up is 37.5 months (0.55-62.8)
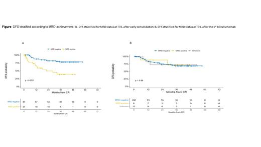
Results. At the end of induction (TP1, after cycles 1 and 2), 131 patients (88%) were in complete remission (CR), with a significant difference according to age: 94%, 92% and 64% in the 18-40, 40.55 and >55 years cohorts, respectively (p<0.001). All patients with KMT2A and TCF3::PBX1 rearrangements achieved a CR, while 5 Ph-like patients did not. At TP2, i.e. after early consolidation, 85 patients (70%) became MRD-negative (MRD neg). TP3, after the 1 st blinatumomab cycle, 102 patients were MRD neg; the rate of MRD negativity increased to 93% (p<0.001). Imposable results were obtained considering only paired MRD samples. Eight patients remained MRD pos, including 4 with a KMT2A rearrangement and 1 with a E2A::PBX1 rearrangement. OS and DFS at 36 months are 71% and 66% on the whole cohort. OS was significantly different (p=0.00013) according to age cohorts: 76%, 74% and 49% for patients aged 18-40, 40-55 and >55 years, respectively. Likewise, DFS was 71%, 62% and 42% for the same age cohorts, without reaching statistical significance. When patients were stratified for TP2 MRD, OS and DFS were significantly better for MRD neg vs MRD pos cases (p=0.0006 and p<0.0001, respectively). At variance, at TP3, with the caveat of the small sample size of MRD pos patients, the differences between MRD neg and MRD pos patients at TP3 were abolished: indeed, OS and DFS were 82% and 68% for MRD neg, 80% and 70% for MRD pos and 88% and 72% for those lacking MRD evaluation (Figure). Finally, 30 relapses have so far occurred, including 10 Ph-like, 1 KMT2A and 3 TCF3::PBX1 rearranged cases. The overall cumulative incidence of relapse (CIR) was 27.5%; of note, within TP3 MRD neg patients CIR was 42.5% in Ph-like cases vs 17.5% in the remaining patients. By univariate analysis, significant factors for OS were age (p<0.001), CR achievement (p<0.001) and TP2 MRD (p=0.002); TP2 MRD retained significance in multivariate analysis (p=0.001). Univariate analysis for DFS showed as significant the Ph-like signature (p=0.026) and TP2 MRD (p<0.001); both retained statistical significance in multivariate analysis (p=0.021 and <0.001, respectively). Toxicity details will be provided.
Conclusions. This phase II trial shows the benefit of adding blinatumomab for the management of Ph- B-ALL, with the primary objective being achieved with 93% of patients being MRD neg after the 1 st cycle of blinatumomab. With a median follow-up of 37.5 months, OS and DFS are 71% and 66%, respectively, better than in historical results, particularly in patients up to the age of 55. Importantly, at TP3 the MRD status no longer impacted, highlighting the therapeutic role of blinatumomab, as observed in Ph+ ALL. Finally, the Ph-like signature retains its negative prognostic impact, suggesting that a combination strategy, similar to that in place for Ph+ ALL, is required.
Disclosures
Chiaretti:Incyte: Membership on an entity's Board of Directors or advisory committees; Abbvie: Membership on an entity's Board of Directors or advisory committees; Gilead: Membership on an entity's Board of Directors or advisory committees; Pfizer: Membership on an entity's Board of Directors or advisory committees; Amgen: Membership on an entity's Board of Directors or advisory committees. Ferrara:ABBVIE: Honoraria. Zappasodi:Amgen, Pfizer, Abbvie, Astellas: Honoraria. Borlenghi:Amgen, Incyte: Other: travel grants; AbbVie, BMS: Consultancy. Pane:Novartis: Research Funding, Speakers Bureau. Candoni:Astrellas: Honoraria; Pfizer: Honoraria; Servier: Honoraria; Abbvie: Honoraria; Incyte: Honoraria; Bristol: Honoraria; Janssen: Honoraria. Rambaldi:Abbvie: Honoraria.
